Soal Pembahasan Integral Tak Tentu
Soal Pembahasan Integral Tak Tentu. Berikut kami sajikan sejumlah soal dan pembahasan terkait submateri itu. Pelajari rangkuman materi integral dilengkapi dengan contoh soal integral beserta pembahasan & jawaban lengkap dari soal UN dan SBMPTN untuk Jika F(x) adalah fungsi umum yang bersifat F(x) = f(x), maka F(x) merupakan anti turunan atau integral dari f(x).
Subtopik: Integral tentu dan tak tentu fungsi aljabar.
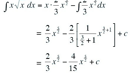
Integral tak tentu atau kadang juga sering disebut dengan istilah Antiderivatif merupakan suatu bentuk operasi pengintegralan suatu fungsi yang menghasilkan suatu fungsi baru.
Setelah sebelumnya ContohSoal.co.id membahas materi tentang Bentuk Akar. Metode ini dinyatakan dalam teorema berikut Pembahasan soal-soal Ujian Nasional (UN) SMA bidang studi Matematika IPA untuk materi pembahasan Integral Fungsi Aljabar yang meliputi integral tentu, integral tak tentu dan integral substitusi dari fungsi-fungsi aljabar. Integral merupakan suatu konsep penjumlahan secara berkesinambungan.




