Contoh Soal Integral Tak Tentu Beserta Contohnya
Contoh Soal Integral Tak Tentu Beserta Contohnya. Fungsi ini belum memiliki nilai pasti (berupa variabel) sehingga cara pengintegralan yang menghasilkan fungsi tak tentu ini. Integral tak tentu dalam bahasa Inggris biasa di kenal dengan nama Indefinite Integral ataupun kadang juga di sebut Antiderivatif yang merupakan suatu bentuk operasi pengintegralan pada suatu fungsi yang menghasilkan suatu fungsi baru.
Oleh karena itu, kalian harus ingat kembali turunan fungsi aljabar Jika salah satu titik yang melalui kurva diketahui, nilai c dapat diketahui sehingga persamaan kurvanya dapat ditentukan.
Integral tak tentu merupakan suatu bentuk dari operasi pengintegralan suatu fungsi yang mana nantinya akan menghasilkan suatu fungsi baru.
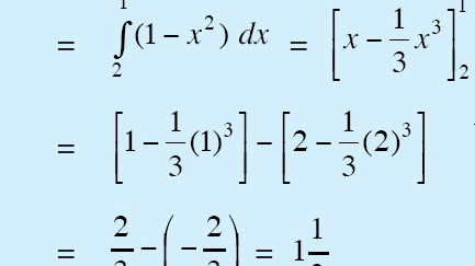
Integral Tentu dan Integral Tidak Tentu beserta Sifatnya untuk mempermudah pengerjaan. Berikut kami sajikan sejumlah soal dan pembahasan terkait submateri itu. Mengetahui pengertian integral tentu, tak tentu, subtitusi, parsial dan trigonometri + penyelesaian.





