Contoh Soal Integral Tak Tentu Bentuk Pecahan
Contoh Soal Integral Tak Tentu Bentuk Pecahan. Demikian beberapa latihan soal integral tentu, integral tak tentu, integral parsial beserta pembahasannya. Integral tak tentu yang seperti sebelumnya dijelaskan adalah merupakan sebuah invers atau kebalikan dari turunan.
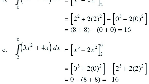
Bagaimana jika integral yang akan ditentukan adalah integral tertentu?
Jika f dan g dapat di integralkan atau memiliki anti turunan dan k dan c adalah konstanta, maka Integrasi pecahan parsial.
Integral tak tentu f(x) merupakan suatu fungsi umum yang ditentukan melalui hubungan. Selamat Datang dan Selamat Belajar di Wardaya College! Integral ialah merupakan suatu bentuk operasi matematika yang menjadi invers (kebalikan) dari sebuah operasi Mengenai integral tentu pertama kali diperkenalkan oleh seorang ilmuan terkenal yaitu Newton dan Leibinz yang kemudian diperkenalkan lebih lanjut.






